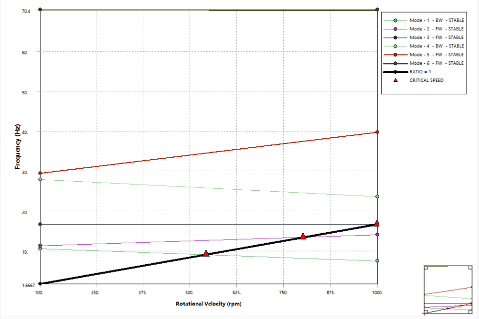
i wantt to kown how to export campbell diagram or critical speed by mechanical script,i want to get the picture below but i am failed

The exported images through "ExtAPI. Graphics. ExportImage" can only be model graphs, not velocity-frequency graphs. When using 'System. Drawing. Graphics. CopyFromScreen()', the UI interface must be on the worksheet and cannot be done in the background or remotely. The result of the Campbell diagram can be exported in the mechanical GUI interface, but there is no Export method option in the script.
Or I just need the critical speed,but the campbell diagram didn't have "ExportTextFile" method(my ansys is 2024R2)